
계산기의 발전속도는 예상보다 빠른 것 같다. 그 선두주자는 텍사스 인스트루먼트社로 최근 나오는 TI nSpire 시리즈는 백라이트까지 탑재되고 있다. 하긴 구식 흑백액정이 언제까지나 계산기에 들어가야 하는 것은 아니니... Ti nSpire 계산기를 사서 써보니 옛날부터 쓰던 카시오 공학용계산기에 비해 버튼은 꽤 안좋아진 단점이 있긴 하지만, 기능에서는 더 좋은 것 같다. 특히 CAS기능의 정확성은 거의 독보적이다. 하지만 기본적인 사용법이 카시오 계산기와 다르기 때문에 Ti 계산기를 쓰려면 알아둬야 할 것들이 좀 있는 것 같아 여기에 정리해 본다.
- 4E10 이런 표시를 원하지 않는다면 Exponential Format을 Normal로 세팅할 것. (Document Settings)
- sin 30 은 sin(30)으로 입력해야 한다. 물론 Document Settings에서 Angle을 Degree로 바꿔줘야 하지만.
- 답에 분수가 나오는 것을 원하지 않는다면 Calculation Mode를 Approximate로 맞출 것. (Document Settings) 하지만 Auto로 두고 쓰되 분수의 답이 나오면 "CTRL, Enter"를 누르면 실수의 근사값이 나오므로 크게 상관은 없다.
- 삼각함수는 Trig 버튼을 사용하라!!! sin ^ -1 이따위 타이핑 하면 안된다!!! (어짜피 괄호가 필요하니까 Trig가 더 편하다 게다가 아크탄젠트 같은 건 타이핑으로 입력하는 것이 불가능하다.)
- 키패드 화살표로 원하는 위치에 가서 그것을 선택하기 위해 가운데 버튼을 누르면 '화살표가 한번 더 먹은 후 선택'되는 경우가 있기 때문에 그냥 enter 버튼을 누르는 것이 실수를 줄이는 방법이다.
- solve() 를 가장 빨리 입력하는 방법은 menu -> 3 -> 1 을 누르는 것이다.
- 삼각함수의 역함수를 쓰지말고, solve를 이용하는 것이 더 좋을 수 있다. 예를 들면 sin-1(100/141.421)을 입력하면 45가 나오지만, solve( sin(a)=100/141.421 , a )를 풀면 a=360 X (n1+0.125) or a=360 X (n1+0.375)로 표현하여, 원하는 답인 135를 얻을 수 있다.
- 적분(Integral)식은 숫자 9 오른쪽 버튼을 누르면 두번째 줄 우측 맨 끝에 있다.
- 변수에 집어넣는 "→" 입력은 ctrl누르고 var 누르면 된다. 즉 'sto→' 라고 되어있는 파란색 글씨가 바로 '→' 변수에 할당하는 키 이다.
- Θ(세타), º(도) 등의 입력은 우측에 'π▶' 를 누르면 있다.
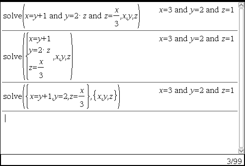
-연립방정식은 아래 그림 참고

ⓐ solve(Eqn1 and Eqn2[and …], VarOrGuess1, VarOrGuess2[, …]) ⇒ Boolean expression
ⓑ solve(SystemOfEqns, VarOrGuess1, VarOrGuess2 [, …]) ⇒ Boolean expression
ⓒ solve({Eqn1, Eqn2 [,...]} {VarOrGuess1,VarOrGuess2 [, … ]}) ⇒ Boolean expression
이 중 b를 이용할 경우 미리 '구해야 할 변수'를 입력해 두어야 되서 약간 불편한 것 같다. a가 가장 무난한 듯.
- document 삭제는 아래와 같이 하면 된다.


- document 내의 변수만 삭제하려면

댓글